2023-04-14
来源: drugdu
369

澳大利亚莫纳什大学领导的一个国际研究小组研究了体重和腰围的变化与全因死亡率和特定原因死亡率的关系。在发表在《美国医学会杂志网络公开版》上的论文《健康老年人体型变化与所有原因和特定原因死亡率的关联》中,该团队强调了体重减轻与死亡风险增加之间的惊人联系。
研究人员使用了过去一项研究的数据,该研究针对16703名70岁及以上的澳大利亚参与者使用阿司匹林的情况。他们专注于体重记录、腰围测量和随时间推移的死亡率信息。该队列由7510名男性和9193名女性组成。所有人都没有明显的心血管疾病、痴呆症、身体残疾或限制生命的慢性疾病。
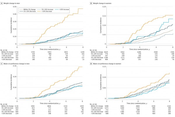
体重和腰围的变化分为5%以内(稳定)、下降5%-10%、下降10%以上、上升5%-10%和上升10%以上。
以体重稳定的男性为对照,体重减轻5%至10%的男性全因死亡率高33%,体重减轻10%以上的男性全因死亡率高289%。
与体重稳定的女性相比,体重减轻5%至10%的女性全因死亡率高26%,体重减轻10%以上的女性全因死亡率高114%。腰围降低10%以上,男性全因死亡率高2.14倍,女性全因死亡率低34%。
体重增加与腰围增加和全因死亡率之间没有显著关联。研究人员表示,体重减轻很可能是各种缩短寿命疾病存在的早期指标。虽然体重减轻可能先于癌症诊断,但研究表明,体重减轻也先于所有原因导致的死亡率增加,包括心血管疾病、创伤、痴呆、帕金森氏病和其他不太常见的原因导致的死亡。
体重减轻主要与食欲下降有关,从而导致食物摄入减少。这篇论文将食欲描述为一个由中枢神经系统和各种循环激素共同控制的复杂过程,其中任何一种激素都可能在更明显的疾病出现之前被破坏。研究人员总结表示,医生和他们的患者应该认识死亡率与老年人体重减轻之间的显著联系。
更多信息:sultana monira hussain等,《健康老年人体型变化与所有原因和特定原因死亡率的关联》,美国医学会杂志网络公开版(2023)。内政部:10.1001/jamaneetworkopen.2023.7482
期刊信息:jama network open
责编: editor您已成功订阅,无需重复提交。
确认
请输入正确邮箱!
订阅
邮件订阅热门医贸资讯,了解第一手信息。