2025-07-17
来源: drugdu
703
近期,科学家沃尔默及其同事在《国际分子科学杂志》上发表了一项研究成果,证明服用一组抗衰老的化合物可以提升免疫力,而免疫力是抗衰老的关键保护因素。研究中测试的化合物混合物包括纳米过滤的初乳、蛋黄提取物、nmn、槲皮素、ɑ-酮戊二酸、白蘑菇和芹菜籽提取物—统称为agepro。此外,在23至89岁的成年人中,免疫细胞诱导的癌细胞杀灭作用增强,这表明这些化合物在各个年龄段都有效。重要的是,在没有癌细胞的情况下,agepro不会激活免疫细胞,这表明服用agepro后是安全的,并且自身免疫的风险很低。这些发现表明,这些化合物的混合物可以安全地增强抗癌免疫力,即不会激活针对健康细胞的免疫细胞。
agepro增强免疫细胞诱导的癌细胞死亡
由于免疫力下降是衰老的一个因素,沃尔默和他的同事设计了一个测试试验,测试agepro对17名年龄在23岁至89岁之间的成年人的免疫力的影响。为此,他们让这些成年人每天两次服用agepro,持续一个月。研究人员还在服用agepro之前的月初和服用agepro30天后的月底抽取了参与者的血液。
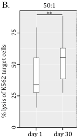
随后,沃尔默及其同事将从参与者血液中分离的免疫细胞与人类白血病细胞在实验室培养皿中结合。检测结果发现,在agepro治疗后获得的分离免疫细胞杀死了约50%的癌细胞。在agepro治疗前一个月提取的参与者免疫细胞仅杀死了约30%的癌细胞。比较这两个百分比,研究结果表明,服用agepro化合物混合物一个月后,免疫细胞对癌细胞的杀灭率增加了约30%,至少在实验室培养皿中是如此。

服用agepro30天后,免疫细胞杀死的癌细胞比例上升了约30%。
agepro对自身免疫具有安全性
有趣的是,在所有受试年龄段的成年人中,免疫细胞对癌细胞的杀灭能力都得到了增强。这一结果表明,包含nmn在内的化合物混合物能够增强老年人和年轻人的抗癌免疫力。
此外,攻击癌细胞的免疫细胞(称为自然杀伤细胞)的广泛激活与自身免疫有关,免疫细胞会攻击体内的健康细胞。因此,沃尔默及其同事测试了接受agepro治疗的参与者的自然杀伤细胞在有癌细胞和没有癌细胞的情况下是否表现出激活的迹象。正如预期的那样,在实验室培养皿中有癌细胞的情况下,与自然杀伤免疫细胞激活相关的蛋白质含量较高。然而,在没有癌细胞的情况下,与免疫细胞激活相关的蛋白质没有增加。这些发现支持agepro化合物混合物诱导nk细胞过度激活和自身免疫的可能性很低,表明该混合物是安全的。
确定agepro是否真的能提高抗癌免疫力
这项研究存在一些问题。首先,尚不清楚agepro中的哪些化合物可能有助于抗癌免疫。其次,服用agepro后,免疫细胞是否会增强对体内癌细胞的杀灭能力,这仍是一个悬而未决的问题。
为了解决第一个问题,即agepro中的哪些化合物可能增强抗癌免疫力?一些研究表明,nmn可以抑制小鼠的肺癌。因此,agepro中的nmn有可能增强了对白血病癌细胞的免疫力。然而,需要进行其他仅使用nmn补充剂并采用相同整体研究方案的人体试验,才能揭示nmn对增强抗癌免疫力是否至关重要。此外,可以使用agepro中的其他单个化合物进行与沃尔默及其同事方案类似的试验,以测试其增强抗癌免疫力的功效。
至于第二个问题,即这些增强抗癌免疫力的发现是否适用于活体人类,只有针对癌症患者的试验才能提供关联证据。在这方面,针对人类癌症患者的试验需要测试服用agepro是否与癌症抑制相关。此外,在他们的研究中,沃尔默及其同事分别在agepro治疗前后从参与者血液中分离免疫细胞,并在实验室培养皿中测试其对抗癌细胞的效果。这种实验室培养皿模型可能无法准确反映体内情况,尤其是因为培养皿中使用的免疫细胞与癌细胞的比例可能与血液循环中不存在的比例不同。
例如,当免疫细胞与癌细胞的比例为50:1时,约50%的癌细胞被杀死;然而,这种免疫细胞与癌细胞的比例在体内可能并不存在。因此,虽然agepro补充剂可能具有一些与抗癌免疫相关的效果,但本研究中使用的最佳细胞比例可能会夸大其词。
尽管如此,即使agepro仅轻微提升了抗癌免疫力,也表明这些分子的组合能够增强免疫细胞功能。因此,应该进行进一步研究,以确定agepro中的单一化合物(例如ɑ-酮戊二酸)是否能够增强免疫力,还是这些化合物的组合能够叠加增强免疫力。如果agepro的成分能够叠加增强免疫力,那么为了获得最佳效果,或许值得服用多种抗衰老化合物。
https://news.yaozh.com/archive/45776.html
责编: editor